2022年湖南專升本高數考情分析(含歷年真題)。以湖南工學院為例有17個專業公共課需要考高數,招生計劃400人,考數學考生2158人,其中419人數學分數在85分及以上,占比19.4%。如果想在總分上有一定競爭力,數學千萬不能拖后腿。
點擊進入:2022年湖南專升本錄取查詢人口(之后院校錄取名單在此公示)
點擊進入:2022年湖南專升本有補錄機會嗎?
點擊進入:2023年湖南專升本報考指導入口
關注公眾號,回復【開學禮包】免費領公眾號真題資料(公共課+專業課)!,敬請關注公眾號:湖南專升本之家
2022年湖南工學院考高數的專業招生計劃

2022年湖南工學院部分專業學生成績排名

從上圖不難看出,本次工學院排名前列的“學霸”們,高數基本都是85分以上。湖南專升本考試是按照總分的高低擇優錄取,所以考試的難度在于要考高分,高數作為一門分數差距較大的公共科目,在考試成績中占據重要位置。
很多同學覺得高數難想放棄高數,但是通過我們分析歷年的考試數據很容易發現:高數考的不好,總分排名也不會很好!
其實高數屬于自己入門難,老師帶著學提分快的科目,相對于英語來說,經過系統性培訓學習的考生高數更容易能達到短期內低分到高分的飛躍。
高數考試范圍
高數的必考章節
1、函數與極限
2、一元函數微分學
3、一元函數微分學的應用
4、一元函數積分學
5、一元函數積分學的應用
各院校高數考點分布

考點真題解析
函數、極限與連續

【2022湖南城市學院原題】

【2022湖南工學院、2022懷化學院原題】

一元函數微分學

【2022湖南理工學院南湖學院原題】

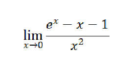
【2021湖南工學院原題】

不定積分

【2022吉首大學原題原題】

定積分

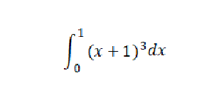
【湖南工學院原題】

【湖南工學院原題】

點擊圖片查看課程詳情
以上就是湖南專升本網給大家推送的2022年湖南專升本高數考情分析(含歷年真題)~各位考生可加入【湖南專升本考生交流群】與同學們一起交流,或【在線咨詢老師】與專業的報名指導老師開展一對一交流,幫助考生攻克基礎知識薄弱、攻堅考試重點難點等困難,得到專屬于自己的解答。敬請關注我們吧!

湖南專升本聲明
(一)由于考試政策等各方面情況的不斷調整與變化,本網站所提供的考試信息僅供參考,請以權威部門公布的正式信息為準。
(二)本網站在文章內容來源出處標注為其他平臺的稿件均為轉載稿,免費轉載出于非商業性學習目的,版權歸原作者所有。如您對內容、版權等問題存在異議請于我們聯系,我們會及時處理。
文章來源于網絡,如有侵權,請聯系刪除


福利領取
成考報名
國開報名
教師資格證
專升本報名
自考報名



